
Journal of International Oncology ›› 2026, Vol. 53 ›› Issue (4): 193-200.doi: 10.3760/cma.j.cn371439-20250823-00032
• Original Article • Previous Articles Next Articles
Liu Lujia, Wang Yukun, Zheng Haitao(
)
Received:2025-08-23
Online:2026-04-08
Published:2026-04-01
Contact:
Zheng Haitao
E-mail:zhenghaitao1972@sdu.edu.cn
Supported by:Liu Lujia, Wang Yukun, Zheng Haitao. Investigation of the causal relationship between gut microbiota and thyroid cancer[J]. Journal of International Oncology, 2026, 53(4): 193-200.
"
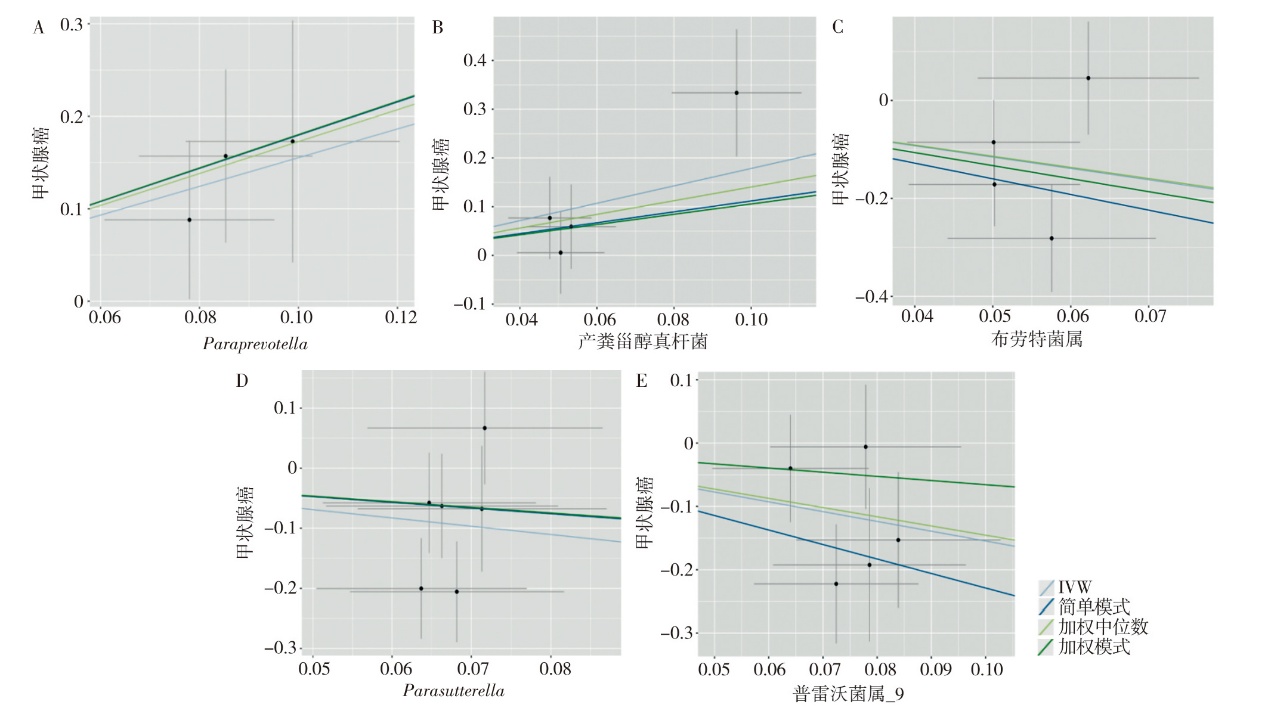
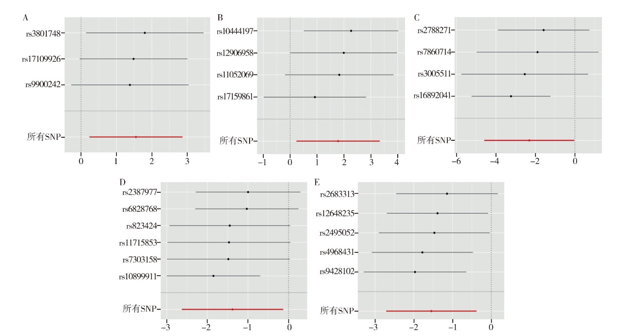
| 菌属 | SNP (个) | 方法 | OR值(95%CI) | P值 | Cochran's Q检验 | 多效性检验 | F值 (中位数) | |||
|---|---|---|---|---|---|---|---|---|---|---|
| Q值 | PQ值 | Egger截距 | P截距值 | |||||||
| Paraprevotella | 3 | MR Egger | 6.94(2.95~16.10) | 0.672 | 0.11 | 0.740 | -0.23 | 0.780 | 21.74 | |
| IVW | 4.72(1.27~17.56) | 0.021 | 0.24 | 0.887 | ||||||
| 加权中位数 | 5.62(1.08~29.18) | 0.040 | ||||||||
| 简单模式 | 6.02(0.84~43.05) | 0.216 | ||||||||
| 加权模式 | 6.07(0.98~37.50) | 0.192 | ||||||||
| 产粪甾醇真杆菌 | 4 | MR Egger | 8.26(1.17~18.50) | 0.182 | 0.56 | 0.757 | -0.26 | 0.278 | 23.33 | |
| IVW | 5.96(1.27~28.01) | 0.024 | 2.73 | 0.435 | ||||||
| 加权中位数 | 4.07(0.55~30.27) | 0.170 | ||||||||
| 简单模式 | 3.06(0.16~59.05) | 0.513 | ||||||||
| 加权模式 | 2.88(0.14~58.73) | 0.542 | ||||||||
| 布劳特菌属 | 4 | MR Egger | 0.55(0.16~1.37) | 0.715 | 4.35 | 0.113 | -0.46 | 0.620 | 19.81 | |
| IVW | 0.10(0.01~0.97) | 0.046 | 5.09 | 0.166 | ||||||
| 加权中位数 | 0.10(0.01~1.03) | 0.052 | ||||||||
| 简单模式 | 0.04(0.00~1.87) | 0.199 | ||||||||
| 加权模式 | 0.07(0.00~2.43) | 0.238 | ||||||||
| Parasutterella | 6 | MR Egger | 0.27(0.04~0.73) | 0.276 | 4.82 | 0.307 | -1.22 | 0.244 | 22.75 | |
| IVW | 0.25(0.07~0.88) | 0.030 | 7.06 | 0.216 | ||||||
| 加权中位数 | 0.39(0.09~1.63) | 0.196 | ||||||||
| 简单模式 | 0.39(0.04~4.00) | 0.462 | ||||||||
| 加权模式 | 0.39(0.04~3.73) | 0.454 | ||||||||
| 普雷沃菌属_9 | 5 | MR Egger | 0.02(0.14~0.63) | 0.608 | 3.48 | 0.324 | 0.17 | 0.755 | 20.30 | |
| IVW | 0.21(0.07~0.68) | 0.009 | 3.61 | 0.461 | ||||||
| 加权中位数 | 0.23(0.05~1.07) | 0.062 | ||||||||
| 简单模式 | 0.10(0.01~1.05) | 0.128 | ||||||||
| 加权模式 | 0.52(0.05~4.95) | 0.599 | ||||||||
"
| 基线资料 | 甲状腺癌组(n=20) | 健康对照组(n=20) | t/χ²/U值 | P值 |
|---|---|---|---|---|
| 年龄(岁,$\bar{x} \pm s$) | 40.0±11.6 | 41.2±10.3 | -0.31 | 0.757 |
| 性别[例(%)] | ||||
| 男 | 6(30) | 8(40) | 0.44 | 0.741 |
| 女 | 14(70) | 12(60) | ||
| BMI(kg/m2,$\bar{x} \pm s$) | 25.28±3.25 | 24.91±2.55 | 0.37 | 0.714 |
| TSH[mIU/L,M(Q1,Q3)] | 2.36(1.51,2.93) | 1.61(0.98,2.95) | 154.50 | 0.218 |
| FT4(pmol/L,$\bar{x} \pm s$) | 15.17±2.28 | 15.80±2.05 | -0.79 | 0.438 |
| FT3(pmol/L,$\bar{x} \pm s$) | 4.89±0.66 | 5.00±0.47 | -0.51 | 0.617 |
| TGAb(IU/ml,$\bar{x} \pm s$) | 12.83±2.83 | 12.66±2.26 | 0.17 | 0.867 |
| TPOAb(IU/ml,$\bar{x} \pm s$) | 13.71±12.74 | 10.30±8.03 | 0.82 | 0.420 |
| TRAb(IU/L,$\bar{x} \pm s$) | 0.93±0.23 | 0.97±0.20 | -0.52 | 0.606 |
| TG[ng/ml,M(Q1,Q3)] | 18.21(6.69,32.71) | 22.08(6.42,52.66) | 182.00 | 0.626 |
"
| 菌属 | 甲状腺癌组(n=20) | 健康对照组(n=20) | U值 | P值 |
|---|---|---|---|---|
| Paraprevotella | 0.41(0.03,1.23) | 0.06(0.01,0.23) | 84.50 | 0.038 |
| 产粪甾醇真杆菌 | 0.93(0.43,2.23) | 0.42(0.09,1.20) | 85.50 | 0.041 |
| 布劳特菌属 | 0.35(0.26,0.57) | 0.56(0.35,1.03) | 90.00 | 0.062 |
| Parasutterella | 0.18(0.13,0.68) | 0.43(0.13,1.07) | 117.00 | 0.357 |
| 普雷沃菌属_9 | 0.19(0.11,3.82) | 1.23(0.17,12.10) | 93.50 | 0.079 |
| [1] | Siegel RL, Miller KD, Wagle NS, et al. Cancer statistics, 2023[J]. CA Cancer J Clin, 2023, 73(1): 17-48. DOI: 10.3322/caac.21763. |
| [2] | Han BF, Zheng RS, Zeng HM, et al. Cancer incidence and mortality in China, 2022[J]. J Natl Cancer Cent, 2024, 4(1): 47-53. DOI: 10.1016/j.jncc.2024.01.006. |
| [3] | Sepich-Poore GD, Zitvogel L, Straussman R, et al. The microbiome and human cancer[J]. Science, 2021, 371(6536): eabc4552. DOI: 10.1126/science.abc4552. |
| [4] |
Feng J, Zhao FY, Sun JY, et al. Alterations in the gut microbiota and metabolite profiles of thyroid carcinoma patients[J]. Int J Cancer, 2019, 144(11): 2728-2745. DOI: 10.1002/ijc.32007.
pmid: 30565661 |
| [5] | Yu XQ, Jiang W, Kosik RO, et al. Gut microbiota changes and its potential relations with thyroid carcinoma[J]. J Adv Res, 2021, 35: 61-70. DOI: 10.1016/j.jare.2021.04.001. |
| [6] |
Burgess S, Timpson NJ, Ebrahim S, et al. Mendelian randomization: where are we now and where are we going?[J]. Int J Epidemiol, 2015, 44(2): 379-388. DOI: 10.1093/ije/dyv108.
pmid: 26085674 |
| [7] |
Kurilshikov A, Medina-Gomez C, Bacigalupe R, et al. Large-scale association analyses identify host factors influencing human gut microbiome composition[J]. Nat Genet, 2021, 53(2): 156-165. DOI: 10.1038/s41588-020-00763-1.
pmid: 33462485 |
| [8] |
Liu XM, Tong X, Zou YQ, et al. Mendelian randomization analyses support causal relationships between blood metabolites and the gut microbiome[J]. Nat Genet, 2022, 54(1): 52-61. DOI: 10.1038/s41588-021-00968-y.
pmid: 34980918 |
| [9] |
Bowden J, Holmes MV. Meta‐analysis and mendelian randomization: a review[J]. Res Synth Methods, 2019, 10(4): 486-496. DOI: 10.1002/jrsm.1346.
pmid: 30861319 |
| [10] |
Liu Y, Geng R, Liu LJ, et al. Gut microbiota-based algorithms in the prediction of metachronous adenoma in colorectal cancer patients following surgery[J]. Front Microbiol, 2020, 11: 1106. DOI: 10.3389/fmicb.2020.01106.
pmid: 32595614 |
| [11] | Sun XH, Chen S, Zhao SQ, et al. Causal relationship of genetically predicted gut microbiota with thyroid cancer: a bidirectional two-sample mendelian randomization study[J]. Front Endocrinol (Lausanne), 2024, 15: 1284472. DOI: 10.3389/fendo.2024.1284472. |
| [12] |
Zhou JT, Zhang X, Xie ZL, et al. Exploring reciprocal causation: bidirectional mendelian randomization study of gut microbiota composition and thyroid cancer[J]. J Cancer Res Clin Oncol, 2024, 150(2): 75. DOI: 10.1007/s00432-023-05535-y.
pmid: 38308705 |
| [13] | Hu SJ, Tang CG, Wang L, et al. Causal relationship between gut microbiota and differentiated thyroid cancer: a two-sample Mendelian randomization study[J]. Front Oncol, 2024, 14: 1375525. DOI: 10.3389/fonc.2024.1375525. |
| [14] | Zhang HB, Yu YH, Li JH, et al. Changes of gut microbiota in colorectal cancer patients with pentatrichomonas hominis infection[J]. Front Cell Infect Microbiol, 2022, 12: 961974. DOI: 10.3389/fcimb.2022.961974. |
| [15] | Chen YY, Fei F, Ding LL, et al. Integrated gut microbiome and metabolome analysis reveals the inhibition effect of lactobacillus plantarum CBT against colorectal cancer[J]. Food Funct, 2024, 15(2): 853-865. DOI: 10.1039/d3fo04806c. |
| [16] | Lu Y, Cui AX, Zhang XB. Commensal microbiota-derived metabolite agmatine triggers inflammation to promote colorectal tumorigenesis[J]. Gut Microbes, 2024, 16(1): 2348441. DOI: 10.1080/19490976.2024.2348441. |
| [17] |
Huang R, Li T, Ni JJ, et al. Different sex-based responses of gut microbiota during the development of hepatocellular carcinoma in liver-specific Tsc1-knockout mice[J]. Front Microbiol, 2018, 9: 1008. DOI: 10.3389/fmicb.2018.01008.
pmid: 29867896 |
| [18] | Yin ZF, Liu BH, Feng SJ, et al. A large genetic causal analysis of the gut microbiota and urological cancers: a bidirectional mendelian randomization study[J]. Nutrients, 2023, 15(18): 4086. DOI: 10.3390/nu15184086. |
| [19] | Senthakumaran T, Moen AEF, Tannæs TM, et al. Microbial dynamics with CRC progression: a study of the mucosal microbiota at multiple sites in cancers, adenomatous polyps, and healthy controls[J]. Eur J Clin Microbiol Infect Dis, 2023, 42(3): 305-322. DOI: 10.1007/s10096-023-04551-7. |
| [20] | Zheng CM, Lu F, Chen B, et al. Gut microbiome as a biomarker for predicting early recurrence of HBV‐related hepatocellular carcinoma[J]. Cancer Sci, 2023, 114(12): 4717-4731. DOI: 10.1111/cas.15983. |
| [21] | Gonçalves MFM, Pina-Vaz T, Fernandes ÂR, et al. Microbiota of urine, glans and prostate biopsies in patients with prostate cancer reveals a dysbiosis in the genitourinary system[J]. Cancers (Basel), 2023, 15(5): 1423. DOI: 10.3390/cancers15051423. |
| [22] |
Richard ML, Liguori G, Lamas B, et al. Mucosa-associated microbiota dysbiosis in colitis associated cancer[J]. Gut Microbes, 2018, 9(2): 131-142. DOI: 10.1080/19490976.2017.1379637.
pmid: 28914591 |
| [23] | Hakozaki T, Nolin-Lapalme A, Kogawa M, et al. Cancer cachexia among patients with advanced non-small-cell lung cancer on immunotherapy: an observational study with exploratory gut microbiota analysis[J]. Cancers (Basel), 2022, 14(21): 5405. DOI: 10.3390/cancers14215405. |
| [24] |
Ye L, Hou YL, Hu WY, et al. Repressed blautia-acetate immunological axis underlies breast cancer progression promoted by chronic stress[J]. Nat Commun, 2023, 14(1): 6160. DOI: 10.1038/s41467-023-41817-2.
pmid: 37789028 |
| [25] |
Xie GX, Wang XN, Huang FJ, et al. Dysregulated hepatic bile acids collaboratively promote liver carcinogenesis[J]. Int J Cancer, 2016, 139(8): 1764-1775. DOI: 10.1002/ijc.30219.
pmid: 27273788 |
| [26] | Bansal T, Alaniz RC, Wood TK, et al. The bacterial signal indole increases epithelial-cell tight-junction resistance and attenuates indicators of inflammation[J]. Proc Natl Acad Sci U S A, 2010, 107(1): 228-233. DOI: 10.1073/pnas.0906112107. |
| [27] | Gao XY, Wang ZG, Liu BW, et al. Causal association of gut microbiota and esophageal cancer: a mendelian randomization study[J]. Front Microbiol, 2023, 14: 1286598. DOI: 10.3389/fmicb.2023.1286598. |
| [28] | Liu F, Liu AW, Lu X, et al. Dysbiosis signatures of the microbial profile in tissue from bladder cancer[J]. Cancer Med, 2019, 8(16): 6904-6914. DOI: 10.1002/cam4.2419. |
| [29] |
Yu DD, Yu XM, Ye AF, et al. Profiling of gut microbial dysbiosis in adults with myeloid leukemia[J]. FEBS Open Bio, 2021, 11(7): 2050-2059. DOI: 10.1002/2211-5463.13193.
pmid: 33993646 |
| [30] | Zhang ZL, Zhu LH, Ma YQ, et al. Study on the characteristics of intestinal flora composition in gastric cancer patients and healthy people in the Qinghai-Tibet plateau[J]. Appl Biochem Biotechnol, 2022, 194(4): 1510-1526. DOI: 10.1007/s12010-021-03732-4. |
| [31] | 周名睿, 戚孟琪, 张妍妍, 等. 人体组织中微生物群落与乳腺癌关系的研究进展[J]. 国际肿瘤学杂志, 2024, 51(12): 779-784. DOI: 10.3760/cma.j.cn371439-20240727-00132. |
| [1] | Liu Jing, Zhang Jun. Progress in the study of redifferentiation therapy for radioactive iodine-refractory differentiated thyroid carcinoma [J]. Journal of International Oncology, 2024, 51(7): 464-467. |
| [2] | Zhang Rui, Chu Yanliu. Research progress of colorectal cancer risk assessment models based on FIT and gut microbiota [J]. Journal of International Oncology, 2024, 51(6): 370-375. |
| [3] | Gao Fan, Wang Ping, Du Chao, Chu Yanliu. Research progress on intestinal flora and non-surgical treatment of the colorectal cancer [J]. Journal of International Oncology, 2024, 51(6): 376-381. |
| [4] | Zhou Mingrui, Qi Mengqi, Zhang Yanyan, Shi Yinuan, Yue Chuan, Zhang Yan, Liu Xianqiang, Zhang Yan. Research progress in the relationship between microbial communities and breast cancer in human tissues [J]. Journal of International Oncology, 2024, 51(12): 779-784. |
| [5] | Chen Kunyan, Du Juan, Ji Yuwei, Gu Weiwei, Peng Hanzhi. Effects of irinotecan combined with XELOX regimen on immune status, intestinal microecology and prognostic risk in elderly patients with colorectal cancer [J]. Journal of International Oncology, 2024, 51(11): 690-695. |
| [6] | Zhang Jinnan, Liu Bangqing, Li Jun, Liu Xiaohui. Research on BHLHE40 targets HMGA2 to reduce the sensitivity of thyroid cancer cells to cisplatin through activating the oxidative phosphorylation pathway [J]. Journal of International Oncology, 2023, 50(7): 398-406. |
| [7] | Guo Ciliang, Jiang Chunping, Wu Junhua. Gut microbiome and tumor immunotherapy [J]. Journal of International Oncology, 2023, 50(7): 432-436. |
| [8] | Lyu Lu, Sun Pengfei. Gut flora and cervical cancer [J]. Journal of International Oncology, 2023, 50(6): 373-376. |
| [9] | Shi Xaioqi, Wang Hongyan. Research progress on the interaction between gut microbiota and radiation enteritis [J]. Journal of International Oncology, 2023, 50(4): 244-247. |
| [10] | Li Jinhao, Wang Guidong, Li Xuefei, Liu Zilin, Meng Kailong. Clinical study of venous phase CT value in predicting central group lymph node metastasis of papillary thyroid carcinoma [J]. Journal of International Oncology, 2022, 49(10): 581-585. |
| [11] | Wu Yuping, Zhang Xiaoyu, Lu Keyi. Mechanism of PD-L1 in thyroid carcinoma and its application in diagnosis and treatment [J]. Journal of International Oncology, 2021, 48(9): 560-563. |
| [12] | Feng Zhiping, Yang Chuanzhou, Chen Ting, Zhu Jialun, Liu Chao, Lyu Juan, Lu Jianmei, Deng Zhiyong. BRD4 inhibitor specifically inhibits the development of wild-type Kras differentiated thyroid carcinoma by regulating BRD4/miR-106b-5p/P21 axis [J]. Journal of International Oncology, 2021, 48(8): 463-472. |
| [13] | Luo Lan, Chen Chuang, Li Xinqian, Sun Shengrong. Relationship between bacteria and breast cancer [J]. Journal of International Oncology, 2021, 48(5): 292-295. |
| [14] | Hou Xiaofeng, Xue Jincai, Tian Youxin, Liu Qinjiang. Diagnosis and surgical treatment of differentiated thyroid carcinoma in 40 years [J]. Journal of International Oncology, 2020, 47(8): 449-456. |
| [15] | Cheng Hu, Liu Mingkui, Chen Tianping. Effects of lncRNA AFAP1-AS1 on proliferation and invasion of thyroid cancer cells and its mechanisms [J]. Journal of International Oncology, 2020, 47(6): 327-332. |
| Viewed | ||||||
|
Full text |
|
|||||
|
Abstract |
|
|||||